Perhatikan kembali sebuah benda yang bergerak melingkar . Benda yang bergerak pada lintasannya akan membentuk sudut tertentu dari posisi awal benda diam. Perubahan sudut ini mengikuti arah gerak benda pada lintasan tersebut. Perubahan sudut gerak benda akan bernilai positif jika gerak benda berlawanan dengan arah putaran jam. Adapun perubahan sudut akan bernilai negatif jika arah gerak benda searah dengan arah putaran jam. Perubahan sudut dilambangkan dengan Δθ dan memiliki satuan radian. Biasanya, sering juga satuan perubahan sudut menggunakan derajat. Hubungan antara radian dan derajat dapat dituliskan sebagai berikut.
Dalam melakukan satu putaran penuh, sudut yang ditempuh adalah 360° atau 2π rad dalam waktu T sekon, dengan T adalah periode. Dari Persamaan (4–5), dapat ditulis kembali menjadi
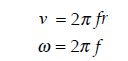
Jika perhatikan Persamaan (4–6) dan (4–7), terdapat hubungan antara laju linear (v) dengan kelajuan anguler (ω ). Jika persamaan-persamaan laju linear dan laju anguler ditulis kembali, akan diperoleh persamaan baru seperti berikut.
sehingga hubungan antara laju linear (v) dan laju anguler (ω ) dapat ditulis menjadi





Tidak ada komentar:
Posting Komentar